Modificación de un potenciostato de bajo costo para su uso en la síntesis y verificación de la pseudocapacitancia del MnO2
Modification of a low-cost potentiostat for its use in the synthesis and verification of the pseudocapacitance of the MnO2
Omar Rojas-Bolaños1, Alejandro Delgado-Castro2
Fecha de recepción: 16 de setiembre, 2024
Fecha de aprobación: 8 de enero, 2025
Rojas-Bolaños, O; Delgado-Castro, A. Modificación de un potenciostato de bajo costo para su uso en la síntesis y verificación de la pseudocapacitancia del MnO2. Tecnología en Marcha. Vol. 38, No 3. Julio-Setiembre, 2025. Pág. 162-175.
https://doi.org/10.18845/tm.v38i3.7239
Palabras clave
Potenciostato de bajo costo; Arduino; óxido de manganeso (IV); electrodeposición; voltametría cíclica; Ley de Ohm.
Resumen
En este trabajo, se proponen modificaciones al circuito de un potenciostato de bajo costo previamente publicado, y se crean programas para su operación desde el Entorno Integrado de Desarrollo (IDE) de Arduino. Con estos cambios se busca eliminar la dependencia del software propietario, y mejorar la calidad de las mediciones en pruebas que requieren corrientes mayores que las presentadas en el artículo original. Durante la evaluación de las modificaciones propuestas, el potenciostato modificado muestra un mejor rendimiento que su versión original y sus resultados concuerdan con los obtenidos con un equipo profesional. En la prueba de comprobación de la Ley de Ohm, el equipo propuesto logra estimar el valor de los resistores utilizados con un error menor al 1%. En la electrodeposición del MnO2, el equipo alcanza corrientes cercanas a 5mA, y en la voltametría cíclica de los depósitos generados, se logra obtener voltamogramas de forma rectangular que concuerdan con las propiedades pseudo capacitivas reportadas para el MnO2. Estos resultados apoyan el uso de instrumentos basados en plataformas de hardware libre en procesos de enseñanza e investigación.
Keywords
Low-cost potentiostat; Arduino; manganese dioxide; electrodeposition; cyclic voltammetry; Ohm’s law.
Abstract
In this work, several modifications to the circuit of a previously-presented low-cost potentiostat are proposed, and new software is created using the Arduino Integrated Development Environment (IDE). These changes are introduced to reduce the dependency of licensed software and to improve the accuracy of the measurements in tests that require higher currents than those reported in the original paper. During evaluation, the modified potentiostat shows better performance than the original version and its results are similar to those obtained with a professional equipment. In the verification of Ohm’s Law, the modified equipment can estimate the values of the underlying resistors with an error lower than 1%. During the MnO2 electrodeposition, the equipment reaches current values close to 5mA and the rectangular shape of the cyclic voltammograms of the produced MnO2 films are consistent with the previously reported pseudocapacitive properties of MnO2. These results support the use of instruments based on open-source platforms in teaching and research activities.
Introducción
El estudio de los sistemas de almacenamiento de energía como baterías o capacitores electroquímicos ha cobrado fuerza en los últimos años por su estrecha relación con el desarrollo y uso de energías limpias, la disminución del calentamiento global y la reducción de la dependencia de los combustibles fósiles [1-2]. Aunado a este campo de investigación, se encuentra la necesidad de contar con instrumentos de medición especializados como voltímetros, amperímetros, osciloscopios, y potenciostatos.
El potenciostato es un instrumento de laboratorio que permite a la persona usuaria aplicar un voltaje de celda constante o variable con el tiempo, entre un electrodo de Trabajo y un electrodo de Referencia. Durante su funcionamiento, el potenciostato registra el tiempo transcurrido durante la prueba, el voltaje de celda aplicado, y la corriente de celda que fluye del electrodo de Trabajo a un tercer electrodo llamado Auxiliar [3].
A pesar de que los potenciostatos son instrumentos de uso cotidiano en un laboratorio de electroquímica, su precio puede resultar restrictivo para algunas instituciones [4]. En respuesta a esta situación, se han publicado trabajos académicos que describen la construcción de potenciostatos de bajo costo. Por ejemplo, Dobbelaere, Vereecken y Detavernier [5] reportaron la construcción de un potenciostato utilizado para la caracterización de electrodos para baterías de iones de litio. A su vez, Irving, Cecil y Yates [6] presentaron una versión mejorada del diseño original de Dobbelaere. Anshori et al. [7] propusieron la construcción de un potenciostato de bajo costo multicanal y capaz de llevar a cabo seis métodos electroquímicos diferentes. Por su parte Matsubara [8] mostró la construcción de un sistema electroquímico triple: potenciostato, galvanostato y espectrómetro de impedancia electroquímica. En estas propuestas, la complejidad de los circuitos es un obstáculo importante que podría dificultar su construcción y comprensión. Meloni [9] propuso un potenciostato basado en la placa Arduino y en un circuito de control que utiliza varias fuentes de alimentación, que luego utilizó para realizar una voltametría cíclica a una disolución de Ferricianuro de Potasio. Steijlen et al. [10] reportaron la construcción de un potenciostato controlado por una unidad Raspberry Pi Pico, y lo utilizaron en el análisis de tabletas de paracetamol por voltametría cíclica y voltametría de onda cuadrada. Por su parte, Li et al. [11] publicaron la construcción del potenciostato denominado JUAMI (Joint Undertaking for an African Materials Institute), también basado en la plataforma Arduino, y que presenta varias ventajas que influyeron en la decisión de utilizarlo como base en la presente investigación, entre ellas:
1.Las instrucciones para su construcción son claras y sencillas.
2.Utiliza una sola fuente de alimentación externa, que se toma a partir de los 5V que suministra el puerto USB del computador.
3.Los autores reportan un rango de corrientes de celda de aproximadamente ±10 mA, por lo que el equipo podría ser utilizado en la síntesis y evaluación de materiales pseudo capacitivos como el MnO2, utilizado en la fabricación de capacitores electroquímicos [1].
No obstante, durante las pruebas electroquímicas presentadas en el artículo original, se utilizaron microelectrodos de trabajo que limitaron las corrientes máximas de celda a valores cercanos a 2 mA [11]. Por lo tanto, se vuelve importante someter al equipo a pruebas que le exijan entregar corrientes más cercanas a los límites máximos reportados y así evaluar su idoneidad para ser utilizado en otro tipo de ensayos. Además, el diseño original del potenciostato JUAMI no permite acceder al código fuente del software de control, por lo que la persona usuaria no puede llevar a cabo modificaciones o ajustes del potenciostato. Otras limitantes del equipo JUAMI fueron señaladas por Elias [12].
En este trabajo se realizan modificaciones al circuito del potenciostato JUAMI original y se presentan nuevos programas para su operación desde el Entorno Integrado de Desarrollo (IDE) de Arduino. Con estos cambios se busca eliminar la dependencia del software propietario, y mejorar el desempeño del equipo en pruebas electroquímicas que le exigen al potenciostato entregar corrientes de celda superiores a las presentadas en el artículo original [11]. La evaluación de los cambios propuestos se realiza comparando los resultados obtenidos con el potenciostato JUAMI original y su versión modificada, con los resultados producidos por un potenciostato profesional.
El buen desempeño del potenciostato modificado refuerza las posibles ventajas de utilizar equipos basados en plataformas de hardware libre y de código abierto como herramientas de bajo costo en los procesos de enseñanza e investigación.
Materiales y métodos
Se construyen dos versiones del potenciostato JUAMI. La primera, denominada JUAMI Original y una segunda versión, denominada JUAMI Modificado. Se realizan tres pruebas distintas para evaluar el desempeño de ambos potenciostatos. Primero, se realiza la comprobación de la Ley de Ohm. La segunda prueba consiste en la electrodeposición del MnO2 sobre placas de acero inoxidable. La tercera prueba es la voltametría cíclica del mismo compuesto. En estas tres pruebas se utiliza como equipo de referencia el potenciostato profesional PalmSens 4, con el software PSTrace 5. Todas las disoluciones se preparan a partir de reactivos calidad analítica y agua desionizada.
Construcción del potenciostato JUAMI.
El potenciostato JUAMI Original, se construye siguiendo los lineamientos descritos por Li et al. [11]. La versión denominada JUAMI Modificado se construye de manera muy similar, pero eliminando cuatro resistores de 68 W que se encuentran en el diseño original, dos de ellos en serie con los electrodos Auxiliar y Trabajo, respectivamente, y dos más que se encuentran en serie con las terminales A0 y A2 del circuito, respectivamente. Eliminar los dos primeros resistores permite evitar que aparezcan voltajes significativos en ellos que puedan afectar la medición del voltaje de celda, cuando la corriente de celda es alta. Las otras dos resistencias se eliminan debido a que, en pruebas de laboratorio realizadas previamente, no se logró observar que estos elementos cumplieran una función real de filtrado que pudiera contribuir a reducir el ruido en las mediciones de voltaje y corriente de celda. En ambas versiones del equipo JUAMI, se utiliza una resistencia de realimentación de 220 W en el amplificador operacional que actúa como seguidor de corriente, tal y como se indica en el diseño original [11].
Software de Control
El potenciostato JUAMI requiere de un software de control que permite la comunicación entre el circuito electrónico y el computador. Para la versión JUAMI Original se utiliza el software propuesto por Li et al. [11], el cual requiere de la plataforma LabView. Para el JUAMI Modificado se crean nuevos programas de control en el Entorno Integrado de Desarrollo (IDE) de Arduino, uno para cada prueba. Además, se crea un programa de ajuste del potenciostato el cual permite obtener las curvas de calibración requeridas para estimar los valores de PWM necesarios para una determinada prueba, así como el voltaje de celda y la corriente de celda. Estos programas, y el proceso de ajuste, se detallan en el anexo.
Comprobación de la Ley de Ohm
En esta prueba se realizan mediciones de corriente y voltaje en una celda ficticia [13], que consiste en conectar una resistencia de carbón entre los electrodos Auxiliar y Trabajo del potenciostato que se está evaluando, mientras que el electrodo de Referencia se conecta en corto circuito con el electrodo Auxiliar, como se muestra en el diagrama de la Figura 1. El objetivo de la prueba es estimar el valor real de la resistencia de carbón a partir de las mediciones de corriente y voltaje realizadas con el equipo, usando la Ley de Ohm [14].
En este experimento se utilizan tres resistores para electrónica, con potencias máximas de
0,5 W y valores teóricos de 100 W, 1 kW y 10 kW, con el fin de evaluar el equipo ante diferentes niveles de corriente de celda. Los valores reales de estos elementos se miden por medio de un multímetro digital de la marca Tektronix, modelo DMM 4040, número de serie 2129102, y certificado de calibración F5900065.
|
|
|
|
Figura 1. Diagrama de conexión de los electrodos a las terminales de la resistencia. |
Figura 2. Fotografía de la celda electroquímica utilizada. |
Electrodeposición de Óxido de Manganeso (IV)
Para esta prueba electroquímica se siguieron los lineamientos definidos por Licht et al. [1]. Se construye una celda electroquímica formada por un vaso de precipitados de 150 mL, previsto de una tapa con agujeros para sostener los tres electrodos. Como electrodo de trabajo se utiliza una lámina de acero inoxidable (4,0 cm2 de área de exposición), como electrodo de Referencia se utiliza un electrodo comercial de Ag/AgCl (KCl 1 molL-1), y una espátula de laboratorio acanalada como electrodo Auxiliar. Dentro del vaso de precipitados se colocan 140 mL de una disolución de MnSO4.H2O 0,2 molL-1, y se aplica agitación con pastilla magnética a 350 rpm. Se aplica un voltaje de celda de +1,0 V durante 60 s, y se registra con el equipo la corriente de celda durante ese tiempo. La Figura 2 muestra una vista general de la celda usada.
Este experimento se realiza de igual manera con cada potenciostato en estudio: PalmSens 4, JUAMI Original, y JUAMI Modificado. Ahora bien, por cada uno de estos equipos se utilizan 140 mL de disolución de MnSO4.H2O 0,2 molL-1, y con ella se generan cuatro depósitos de Óxido de Manganeso (IV), en cuatro electrodos de acero diferentes, con el objetivo de evaluar la reproducibilidad del experimento y el posible impacto de la disminución en la concentración del reactivo en la calidad de los depósitos.
Voltametría Cíclica de los Depósitos de Óxido de Manganeso (IV)
En esta prueba se siguen los lineamientos definidos por Licht et al. [1]. A cada uno de los electrodos generados en la prueba de electrodeposición, se le aplica una voltametría cíclica utilizando el mismo equipo con el que se generó el depósito, y una celda electroquímica similar a la mostrada en la Figura 2, utilizando como electrolito 140 mL de Na2SO4 0,5 molL-1 sin agitación. En todos los casos, como voltaje de celda se aplica un barrido con los siguientes parámetros: voltaje mínimo de +0,4 V; voltaje máximo de +0,8 V; velocidad de barrido de 10 mVs-1, y número de ciclos igual a 15. En cada prueba el equipo correspondiente registra el voltaje y la corriente de celda.
Resultados
En la primera prueba, cuya finalidad era comprobar la Ley de Ohm para tres valores de resistencia de celda, se obtuvieron las gráficas de corriente de celda contra voltaje de celda presentadas en la Figura 3, mientras que el Cuadro 1, muestra los porcentajes de error registrados por cada equipo en la estimación de la resistencia de celda a partir de la pendiente de la recta de mejor ajuste correspondiente.
Cuadro 1. Porcentajes de error obtenidos en la estimación de las resistencias de celda a partir de las pendientes de las gráficas de corriente de celda contra voltaje de celda, para cada uno de los potenciostatos en estudio.
|
Potenciostato |
Error (%) |
||
|---|---|---|---|
|
100 Ω |
1 kΩ |
10 kΩ |
|
|
PalmSens 4 |
0,1 |
0,2 |
0,2 |
|
JUAMI Original |
72,0 |
9,0 |
2,4 |
|
JUAMI Modificado |
0,8 |
0,9 |
0,3 |
Las gráficas de la Figura 3 muestran que los tres equipos proporcionan resultados lineales. No obstante, las rectas generadas por el potenciostato JUAMI Original se desvían de las generadas por el potenciostato profesional PalmSens 4, principalmente para la resistencia de celda de 100 Ω. Por el contrario, las rectas generadas con el potenciostato JUAMI Modificado, resultan ser muy similares a las generadas por el equipo profesional, para las tres resistencias de celda analizadas. Esto se debe a que el potenciostato JUAMI Modificado no contiene la resistencia de 68 Ω en serie con el electrodo de Trabajo, la cual incrementa el valor de la resistencia de celda. Este efecto se vuelve más notorio conforme el valor de la resistencia de celda se acerca a los 68 Ω, como se observa en las gráficas de la Figura 3.
En los resultados del Cuadro 1 se observa que el potenciostato PalmSens 4 obtuvo los porcentajes de error más bajos a la hora de estimar el valor real de cada resistencia de celda, en promedio 0,17 %. En segundo lugar, se ubicó el potenciostato JUAMI Modificado, que arrojó un error promedio de 0,67 %. Finalmente, el potenciostato con el mayor error en las mediciones fue el JUAMI Original, que arrojó en promedio 27,80 %, donde la estimación de la resistencia de celda de 100 Ω fue la más problemática. Estos resultados evidencian que los cambios introducidos en el circuito y en el programa de control tienen un impacto positivo en su desempeño, en esta prueba en particular. Ahora, considerando los buenos resultados arrojados por el equipo PalmSens 4, se refuerza la decisión de utilizar este equipo como referencia para las siguientes pruebas.
|
|
|
|
(a) |
(b) |
|
|
|
|
(c) |
|
Figura 3. Gráficas de corriente de celda contra voltaje de celda obtenidas con los tres potenciostatos en estudio, para tres valores distintos de resistencia de celda: (a) 100 Ω. (b) 1 kΩ. (c) 10 kΩ.
|
|
|
|
(a) |
(b) |
|
|
|
|
(c) |
|
Figura 4. Gráficas de corriente contra tiempo para cuatro electrodeposiciones de Óxido de Manganeso (IV) generados con los tres equipos en estudio. a) PalmSens 4. b) JUAMI Original. c) JUAMI Modificado.
Para la prueba de electrodeposición, las curvas de corriente contra tiempo obtenidas para cada uno de los equipos en estudio se presentan en la Figura 4. En esta prueba, el potenciostato profesional PalmSens 4 mantiene una corriente de aproximadamente 6 mA durante la generación de los 4 electrodepósitos, como se observa en la Figura 4a. Por su parte, el equipo JUAMI Original no logra alcanzar este nivel de corriente en ninguno de los electrodepósitos realizados, como se ve en la Figura 4b. Esto podría deberse a problemas a la hora de establecer el voltaje de celda requerido, mismo que debe mantenerse constante durante toda la prueba, y a problemas a la hora de medir la corriente de celda.
El JUAMI Modificado en cambio, parece tener un mejor control del voltaje de celda deseado, como se observa en la Figura 4c, así como una mayor exactitud a la hora de medir la corriente de celda, por lo que sus gráficas se asemejan más a las producidas con el PalmSens 4.

Figura 5. Depósitos de Óxido de Manganeso (IV) realizados con cada potenciostato en estudio. De izquierda a derecha: JUAMI Modificado, PalmSens 4, y JUAMI Original.
La Figura 5 muestra tres de los depósitos realizados, uno por cada potenciostato en estudio. En ella llama la atención el color más claro del depósito generado por el equipo JUAMI Original, el cual está asociado con una menor cantidad de Óxido de Manganeso (IV) depositado, debido a la baja corriente entregada por el equipo durante la prueba. El color del depósito generado con el JUAMI Modificado es más oscuro, por lo que hay una mayor cantidad del producto en él, y es más semejante al color oscuro del depósito producido por el potenciostato PalmSens 4.
|
|
|
|
(a) |
(b) |
|
|
|
|
(c) |
|
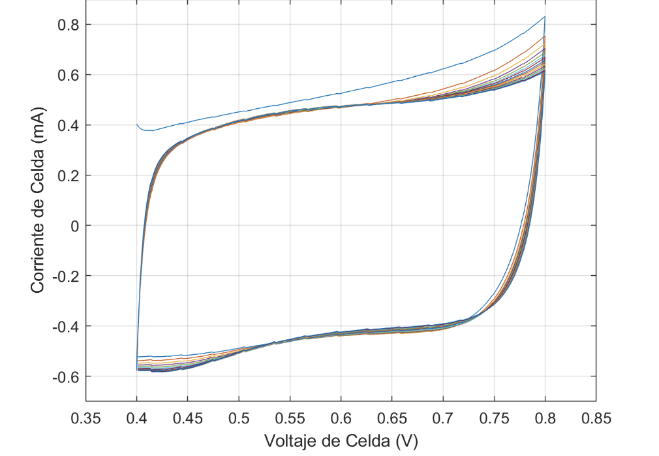
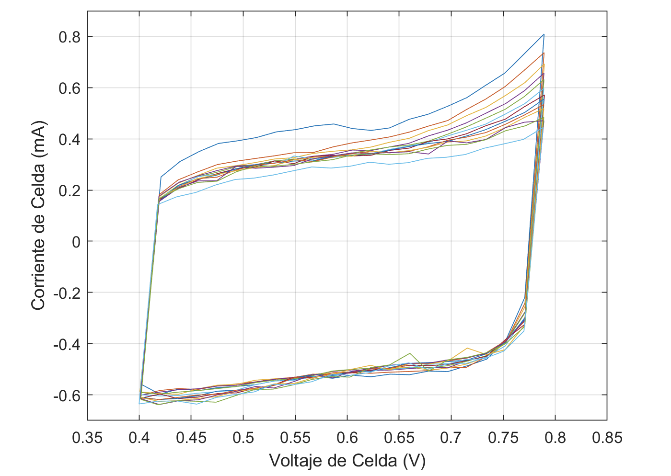
Figura 6. Voltamogramas cíclicos para un electrodepósito de Óxido de Manganeso (IV) utilizando los tres equipos en estudio. a) PalmSens 4. b) JUAMI Original. c) JUAMI Modificado.
Los resultados obtenidos durante las voltametrías cíclicas se presentan en la Figura 6. Para facilitar la lectura de las gráficas, se considera únicamente uno de los cuatro depósitos obtenidos con cada uno de los equipos estudiados. La forma general del voltamograma obtenido con el potenciostato PalmSens 4 es muy similar a la reportada por otros grupos de investigación [15], y su forma cuasi rectangular se asocia con las propiedades pseudo capacitivas del Dióxido de Manganeso (IV) [1]. El voltamograma generado por el equipo JUAMI Original presenta la forma básica esperada, pero contiene una gran cantidad de ruido en las mediciones. Además, este voltamograma no logra las mismas corrientes máximas y mínimas alcanzadas por el PalmSens 4. El JUAMI Modificado, por su parte, produjo un voltamograma mucho más cercano al del PalmSens 4, con una cierta cantidad de ruido de medición, pero se alcanzan las corrientes máximas y mínimas esperadas.
Conclusiones
En este estudio se plantearon modificaciones a un potenciostato de bajo costo, presentado en un estudio anterior, y se comparó su desempeño contra el de un equipo profesional en tres pruebas electroquímicas diferentes, con el fin de evaluar el nivel de mejoría en la exactitud de los resultados generados, y así explorar la posibilidad de incorporar esta alternativa en actividades asociadas con la enseñanza de la química, y de ser posible, en trabajo de investigación.
Los resultados obtenidos mostraron una mejoría en la exactitud de las mediciones realizadas con el potenciostato de bajo costo modificado. En la comprobación de la Ley de Ohm, el equipo propuesto presentó un comportamiento lineal y un error de estimación similar al mostrado por el potenciostato profesional. Durante la electrodeposición del MnO2, se alcanzaron corrientes de celda más cercanas a las esperadas con el potenciostato modificado, lo que mejoró la calidad de los depósitos. Los voltamogramas realizados con el equipo propuesto presentaron la forma esperada y mayor simetría, permitiendo identificar de forma más clara las propiedades pseudocapacitivas del MnO2.
En futuras investigaciones se evaluará la posibilidad de crear una interfaz gráfica de usuario que permita manipular el potenciostato de una manera más intuitiva, para así facilitar su uso en prácticas de laboratorio donde se trabaje con personas estudiantes. Así mismo, se estudiarán otras posibles modificaciones en el circuito de control, que permitan mejorar aún más el desempeño de este potenciostato.
Agradecimientos
Se agradece a la Sede Regional de Guanacaste de la Universidad de Costa Rica por el apoyo brindado a esta iniciativa de investigación, en particular, por el espacio físico, el equipo, y los materiales utilizados para la realización de las pruebas de laboratorio.
Referencias
[1] Licht, F., Aleman Milan, G. y Andreas, H. (2018). Bringing Real-World Energy-Storage Research into a Second-Year Physical-Chemistry Lab Using a MnO2-Based Supercapacitor. J. Chem. Educ., 95(11), 2028-2033. https://doi.org/10.1021/acs.jchemed.8b00454
[2] Liu, J., Bao, J., Zhang, X., Gao, Y., Zhang, Y., Liu, L. y Cao, Z. (2022). MnO2-based materials for supercapacitor electrodes: challenges, strategies and prospects. RSC Adv., 12, 35556-35578. https://doi.org/10.1039/D2RA06664E
[3] Colburn, A. W., Levey, K. J., O’Hare, D. y Macpherson, J. V. (2021). Lifting the lid on the potentiostat: a beginner’s guide to understanding electrochemical circuitry and practical operation. Phys. Chem. Chem. Phys., 23(14), 8100-8117. https://doi.org/10.1039/D1CP00661D
[4] Zuben, T. W., Salles, A. G. y Bonacin, J. A. (2024). Low-cost open-source potentiostats: A comprehensive review of DIY solutions and fundamental concepts of electronics and its integration with electrochemistry. Electrochimica Acta, 498, 144619. https://doi.org/10.1016/j.electacta.2024.144619
[5] Dobbelaere, T., Vereecken, P. M. y Detavernier, C. (2017). A USB-controlled potentiostat/galvanostat for thin-film battery characterization. HardwareX, 2(1), 34-49. http://dx.doi.org/10.1016/j.ohx.2017.08.001
[6] Irving, P., Cecil, R. y Yates, M. Z. (2021). MYSTAT: A compact potentiostat/galvanostat for general electrochemistry measurements. HardwareX, 9, e00163. https://doi.org/10.1016/j.ohx.2020.e00163
[7] Anshori, I., Ramadhan, I. F., Ariasena, E., Siburian, R., Affi, J., Handayani, M., Yunkins, H., Kuji, T., Mengko, T. L. E. R. y Harimurti, S. (2022). ESPotensio: A Low-Cost and Portable Potentiostat With Multi-Channel and Multi-Analysis Electrochemical Measurements. IEEE Access, 10, 112578-112593. https://doi.org/10.1109/ACCESS.2022.3213725
[8] Matsubara, Y. (2021). A small yet Complete Framework for a Potentiostat, Galvanostat, and Electrochemical Impedance Spectrometer. J. Chem. Edu., 98(10), 3362-3370. https://doi.org/10.1021/acs.jchemed.1c00228
[9] Meloni, G. N. (2016). Building a Microcontroller Based Potentiostat: A Inexpensive and Versatile Platform for Teaching Electrochemistry and Instrumentation. J. Chem. Educ., 93(7), 1320-1322. https://doi.org/10.1021/acs.jchemed.5b00961
[10] Steijlen, A., Docter, M., Bastemeijer, J., Topyla, M., Moraczewska, M., Hoekstra, T., Parrilla, M. y De Wael, K. (2024). A Practical Guide to Build a Raspberry Pi Pico Based Potentiostat for Educational Electrochemistry and Electronic Instrumentation. J. Chem. Educ., 101(9), 3998-4004. https://doi.org/10.1021/acs.jchemed.4c00624
[11] Li, Y. C., Melenbrink, E. L., Cordonier, G. J., Boggs, C., Khan, A., Isaac, M. K., Nkhonjera, L. K., Bahati, D., Billinge, S. J., Haile, S. M., Kreuter, R. A., Crable, R. M. y Mallouk, T. E. (2018). An Easily Fabricated Low-Cost Potentiostat Coupled with User-Friendly Software for Introducing Students to Electrochemical Reactions and Electroanalytical Techniques. J. Chem. Educ., 95(9), 1658-1661. https://doi.org/10.1021/acs.jchemed.8b00340
[12] Elias, J. S. (2024). An Improved Potentiostat / Galvanostat for Undergraduate-Designed Electrochemical Laboratories. J. Chem. Educ., 101(4), 1703-1710. https://doi.org/10.1021/acs.jchemed.3c01044
[13] Ibrahim, N. F. A., Noor, A. M., Sabani, N., Zakaria, Z., Wahab, A. A., Manaf, A. A. y Johari, S. (2023). We-VoltamoStat: A wearable potentiostat for voltammetry analysis with a smartphone interface. HardwareX, 15, e00441. https://doi.org/10.1016/j.ohx.2023.e00441
[14] Farhan, I. M., Aldy, M. N., Nabillah, J. y Adriyanto, F. (2021). Design of Microcontroller-Based Potentiostat for Determination of Ethanol Integrated with Smartphone through Internet of Things. IOP Conf. Ser.: Mater. Sci. Eng. 1096 012073. https://iopscience.iop.org/article/10.1088/1757-899X/1096/1/012073
[15] Wu, M. y Hong, L. (2024). Cyclic voltametric formation of hollow porous g-MnO2 microspheres as stable electrodes for high-performance supercapacitors. Journal of Energy Storage, 75, 109721. https://doi.org/10.1016/j.est.2023.109721
Declaración sobre uso de Inteligencia Artificial (IA)
Los autores aquí firmantes declaramos que no se utilizó ninguna herramienta de IA para la conceptualización, traducción o redacción de este artículo.
Anexos
Ajuste del potenciostato JUAMI Modificado
Se conecta una resistencia de carbón de 5.1 kΩ (RL) entre los electrodos Auxiliar y Trabajo del potenciostato, mientras que los electrodos de Referencia y Auxiliar se conectan al mismo nodo. Se mide el valor real de RL con un ohmímetro y se registra dicho valor. El voltaje en RL se mide con un voltímetro, con su terminal positiva conectada al electrodo de Trabajo, y se ejecuta el programa de ajuste. Por medio de la terminal D9, el programa aplica durante algunos segundos una señal PWM con anchos de pulso entre 0 y 255 (valor de PWM), en intervalos de 17 unidades. El voltímetro registrará un valor de voltaje de celda (VC) distinto para cada valor de PWM asignado. Se debe registrar manualmente cada uno de estos valores hasta que finalice la ejecución del programa. Posteriormente, se desconecta el voltímetro del sistema y se ejecuta una vez más el programa de ajuste. Los valores registrados en los pines A0 y A2 durante la segunda ejecución del programa, se transfieren a una hoja electrónica y se calculan los valores promedio para cada valor de PWM utilizado. Para cada valor de PWM, se calcula la Corriente de Celda (IC) utilizando la Ley de Ohm y los valores VC y RL. Luego, se construyen gráficas de VC contra el valor de PWM; VC contra el valor de A0; y el valor de A2 contra IC. Se calculan las rectas de mejor ajuste en cada caso. De esta forma es posible obtener tres ecuaciones: VC en función del valor de PWM; VC en función del valor de A0; y valor de A2 en función de IC. La primera ecuación permite calcular el valor de PWM necesario para aplicar un determinado voltaje de celda. La segunda y la tercera ecuación permiten calcular voltajes de celda y corrientes de celda a partir de los valores de A0 y A2 registrados durante los experimentos electroquímicos.
Código del programa de ajuste del potenciostato JUAMI:
void setup() {
pinMode(9,OUTPUT);
TCCR1B = TCCR1B & B11111000 | B00000001;
Serial.begin(9600);
Serial.print(“PWM”);
Serial.print(“,”);
Serial.print(“A0”);
Serial.print(“,”);
Serial.println(“A2”);
}
void loop() {
int AT0;
int AT2;
for(int i=0;i<=255;i=i+17){
analogWrite(9,i);
for(int j=1;j<=60;j++){
AT0=analogRead(A0);
AT2=analogRead(A2);
Serial.print(i);
Serial.print(“,”);
Serial.print(AT0);
Serial.print(“,”);
Serial.println(AT2);
delay(100);
}
}
analogWrite(9,LOW);
Serial.flush();
while(1);
}
Código del programa para la comprobación de la Ley de Ohm:
void setup() {
pinMode(9,OUTPUT);
TCCR1B = TCCR1B & B11111000 | B00000001;
Serial.begin(9600);
Serial.print(“PWM”);
Serial.print(“,”);
Serial.print(“A0”);
Serial.print(“,”);
Serial.println(“A2”);
}
void loop() {
delay(2000);
for(int i=0;i<=255;i++){
analogWrite(9,i);
Serial.print(i);
findAverage();
}
delay(2000);
analogWrite(9,LOW);
Serial.flush();
while(1);
}
void findAverage(){
int voltage_ave=0;
int current_ave=0;
int steptime=13; //tiempo que tarda en adicionar un dato al promedio ms
int average=15; //número de datos de A0 y A2 que serán promediados
int y=0;
for(y=0;y<average;y++){
delay(steptime);
int voltage=analogRead(0);
int current=analogRead(2);
voltage_ave=(voltage_ave+voltage);
current_ave=(current_ave+current);
}
voltage_ave=voltage_ave/average;
current_ave=current_ave/average;
Serial.print(“,”);
Serial.print(voltage_ave);
Serial.print(“,”);
Serial.println(current_ave);
}
Código del programa para la electrodeposición de Oxido de Manganeso (IV):
void setup() {
pinMode(9,OUTPUT);
TCCR1B = TCCR1B & B11111000 | B00000001;
Serial.begin(9600);
Serial.print(“PWM”);
Serial.print(“,”);
Serial.print(“time(s)”);
Serial.print(“,”);
Serial.print(“Pin A0”);
Serial.print(“,”);
Serial.println(“Pin A2”);
}
void loop() {
int pwm=186;
int AT0;
int AT2;
analogWrite(9,pwm);
for(int j=1;j<=625;j++){
AT0=analogRead(A0);
AT2=analogRead(A2);
Serial.print(pwm);
Serial.print(“,”);
Serial.print(millis()/1000.00,2);
Serial.print(“,”);
Serial.print(AT0);
Serial.print(“,”);
Serial.println(AT2);
delay(96);
}
analogWrite(9,LOW);
Serial.flush();
while(1);
}
Código del programa para la voltametría cíclica:
void setup() {
pinMode(9,OUTPUT);
TCCR1B = TCCR1B & B11111000 | B00000001;
Serial.begin(9600);
Serial.print(“PWM”);
Serial.print(“,”);
Serial.print(“time(s)”);
Serial.print(“,”);
Serial.print(“Pin A0”);
Serial.print(“,”);
Serial.println(“Pin A2”);
}
void loop() {
int n=1;
int ciclos=15; //ciclos que realizará el potenciostato
int AT0;
int AT2;
while(n<=ciclos){
Serial.print(“ciclo”);
Serial.print(“ “);
Serial.println(n);
for(int i=153;i<174;i++){
analogWrite(9,i);
for(int j=1;j<=60;j++){
AT0=analogRead(A0);
AT2=analogRead(A2);
Serial.print(i);
Serial.print(“,”);
Serial.print(millis()/1000.00,2);
Serial.print(“,”);
Serial.print(AT0);
Serial.print(“,”);
Serial.println(AT2);
delay(30);
}
}
for(int i=174;i>153;i--){
analogWrite(9,i);
for(int j=1;j<=60;j++){
AT0=analogRead(A0);
AT2=analogRead(A2);
Serial.print(i);
Serial.print(“,”);
Serial.print(millis()/1000.00,2);
Serial.print(“,”);
Serial.print(AT0);
Serial.print(“,”);
Serial.println(AT2);
delay(30);
}
}
n=n+1;
}
analogWrite(9,LOW);
Serial.flush();
while(1);
}
1 Universidad de Costa Rica, Sede Guanacaste. Costa Rica.
omar.rojas@ucr.ac.cr
https://orcid.org/0000-0001-8876-3181
2 Universidad de Costa Rica, Sede Guanacaste. Costa Rica.
alejandro.delgadocastro@ucr.ac.cr
https://orcid.org/0000-0002-5475-7813